Please note that Tapas no longer supports Internet Explorer.
We recommend upgrading to the latest Microsoft Edge, Google Chrome, or Firefox.
Home
Comics
Novels
Community
Mature
More
Help Discord Forums Newsfeed Contact Merch Shop
Publish
Home
Comics
Novels
Community
Mature
More
Help Discord Forums Newsfeed Contact Merch Shop
__anonymous__
__anonymous__
0
  • Publish
  • Ink shop
  • Redeem code
  • Settings
  • Log out
life support
Slice of life

life support

Galatea*ω*
1.5k views 2 subscribers 6 likes
Slice of life
life support
life support
Novel 1.5k views 2 subscribers 6 likes
Read Ep.1 Subscribe
Episodes Details

13 episodes

How to get a free episode?

Each one lets you open a locked episode without spending Ink.

You may receive free episodes as gifts in the Android or iOS apps.

  • -

    Episode 1

    -

    Aug 08, 2018291 views

  • -

    Episode 2

    -

    Aug 08, 201898 views

  • -

    Episode 3

    -

    Aug 08, 2018125 views

  • -

    Episode 4

    -

    Aug 08, 2018111 views

  • -

    Episode 5

    -

    Aug 08, 2018105 views

  • -

    Episode 6

    -

    Aug 08, 2018101 views

  • An appendix to Chapter 6.

    Episode 7

    An appendix to Chapter 6.

    Aug 08, 2018118 views

  • -

    Episode 8

    -

    Aug 08, 201895 views

  • -

    Episode 9

    -

    Aug 08, 201890 views

  • -

    Episode 10

    -

    Aug 08, 201891 views

  • -

    Episode 11

    -

    Aug 08, 2018107 views

  • -

    Episode 12

    -

    Aug 08, 201882 views

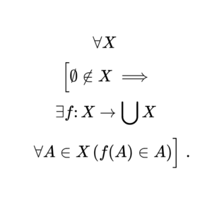
  • ∀{(Banach-Tarski)} ∃({P(Banach-Tarski)})

    Episode 13

    ∀{(Banach-Tarski)} ∃({P(Banach-Tarski)})

    Dec 08, 201889 views

Creator

  • Galatea039
    Galatea*ω*

Description

ous. And nobody can tell the difference.

(-)burgs and (-)villes across, war has become unbearable. months have been crammed into days, the same cycle of erasure and restart treating those subjected to it like machines, the times expecting them to perpetuate miserable cycles that Camus would find abhorrent.

In ten years, the streets will be clear again, and reparations will be made. Mistakes will be acknowledged, and people will try to live lives again. Some will seek counterjustice, some still will try to pretend that the dead were never alive. Some still will forget entirely. This is not about them. Among the statistics, tens upon tens upon tens of lives were wasted, two points in that graph, will have attempted to take their passing into their own hands.

in a phrase, they've abstracted. (in their native Filipino, gone for lost)

Had they waited longer, they would've woken up to a bright, sunny day today. They would've had their morning coffee, would've laughed together.

All they've left was this screen, spitting out words and ideas, all they've ever had.

Had they waited longer, they would have continued to be the mean instead of the minority, melding into the flow, having never laid bare their ideas for anyone who would listen.

#yuri#Collage#remembrance#continuance#literary_collage

Completed series

Genres

  • Slice of life

Fans also read

  • Essays

    More by the creator

    Essays

    Novel Non-fiction 1 like

  • Mariposas

    Fans also read

    Mariposas

    Novel Slice of life 232 likes

  • Life is in the Little Things

    Fans also read

    Life is in the Little Things

    Novel Slice of life 20 likes

  • Secunda

    Fans also read

    Secunda

    Novel Romance Fantasy 43.2k likes

  • Silence | book 2

    Fans also read

    Silence | book 2

    Novel LGBTQ+ 32.3k likes

  • What Makes a Monster

    Fans also read

    What Makes a Monster

    Novel BL 75.3k likes

Creator

  • Galatea039
    Galatea*ω*

Details

ous. And nobody can tell the difference.

(-)burgs and (-)villes across, war has become unbearable. months have been crammed into days, the same cycle of erasure and restart treating those subjected to it like machines, the times expecting them to perpetuate miserable cycles that Camus would find abhorrent.

In ten years, the streets will be clear again, and reparations will be made. Mistakes will be acknowledged, and people will try to live lives again. Some will seek counterjustice, some still will try to pretend that the dead were never alive. Some still will forget entirely. This is not about them. Among the statistics, tens upon tens upon tens of lives were wasted, two points in that graph, will have attempted to take their passing into their own hands.

in a phrase, they've abstracted. (in their native Filipino, gone for lost)

Had they waited longer, they would've woken up to a bright, sunny day today. They would've had their morning coffee, would've laughed together.

All they've left was this screen, spitting out words and ideas, all they've ever had.

Had they waited longer, they would have continued to be the mean instead of the minority, melding into the flow, having never laid bare their ideas for anyone who would listen.

#yuri#Collage#remembrance#continuance#literary_collage

Completed series

Fans also read

  • Essays

    More by the creator

    Essays

    Novel Non-fiction 1 like

  • Mariposas

    Fans also read

    Mariposas

    Novel Slice of life 232 likes

  • Life is in the Little Things

    Fans also read

    Life is in the Little Things

    Novel Slice of life 20 likes

  • Secunda

    Fans also read

    Secunda

    Novel Romance Fantasy 43.2k likes

  • Silence | book 2

    Fans also read

    Silence | book 2

    Novel LGBTQ+ 32.3k likes

  • What Makes a Monster

    Fans also read

    What Makes a Monster

    Novel BL 75.3k likes

Subscribe Read Ep.1